티스토리 뷰
서론 : 마르크스경제학에서 이윤율은 왜 중요한가
마르크스경제학에서 가장 독특하다고 볼 수 있는 분야가 바로 이윤율 분석이다. 마르크스경제학에서 이윤율은 왜 중요한가? 그것은 가치의 생산가격으로의 전형과 관련이 있다. 노동가치론이 현실분석으로 연결짓는 이론적 논거는 두 가지이다. 첫째. 노동시간의 화폐적 표현 MELT를 이용하여 거시적 집계치인 순생산물의 가격을 직접노동시간과 항등적으로 관련짓는 것이다. 둘째. 균등이윤율이 성립하는 부문/기업 간 생산가격이 장기적으로 성립한다면 가치는 (적어도 장기적 시간 차원에서) 생산가격과 연관될 수 있다.
후자에 따르면 거의 무작위에 가까운 시장가격의 변동은 장기 시점 차원에서는 이윤율의 균등화를 낳는 생산가격의 중심에서 변동한다고 주장한다. 시장가격의 변동은 노동가치론이 예측하는 바와 상당수 괴리된다. 물론 이는 생산가격에서도 마찬가지로 가치와 괴리되지만, 마르크스경제학자들은 시장가격을 장기시점 차원에서 생산가격으로 통제될 수 있다면 적어도 노동가치론은 그 안에서 합리적으로 가치와 가격의 괴리를 설명할 수 있게 된다고 희망한다.
이 말은 시장가격의 변동이 생산가격을 중심으로 변동한다는 것을 입증하기만 한다면, 이미 정립되어있는 가치-생산가격의 괴리에 대한 이론이 (약한 연관고리를 갖긴 하지만) 정당화할 수 있다는 것이다. 이 분야를 "생산가격 분석" 또는 "이윤율 분석"이라고도 할 수 있겠다.
그렇다면 우리는 다음과 같은 질문을 해야 할 것이다. "이윤율은 균등화하는가?"
기존연구들
이윤율의 균등화 과정에 대한 실증은 여러 한계와 방해요인들이 존재하기 때문에 여간 어려운 일이 아니다. 우선적으로 Duménil&Lévy(1995)1의 연구를 소개해보자. 그들은 산업별로 이윤율을 세 가지의 이윤율로 정의를 한 후,
(순생산-노동소득-간접세)/(순자본스톡+재고)
라는 방식으로 이윤율이 정의될 때 산업간 이윤율 차이가 가장 적게 나타났음을 확인한다. 케임브리지 방정식2에 따르면 자본성장률은 이윤율의 함수이므로 수익성 차이가 자본성장에 산업별로 영향을 미치는지에 대해 Bernstein(1988)의 방법을 응용하여 회귀분석3을 하였고 전체 산업 9개 중 7개에서 유의한 결과를 얻었다고 한다.
그 외에는 이윤율 균등화에 대한 실증분석이 있는지는 잘 모르겠다. 비교적 시뮬레이션 분석들이 주를 이루는 것으로 보인다.
그런데 뒤메닐&레비의 방식에서는 어떤 산업이 다른 산업들에 대해 이윤율의 차이에 민감하게 반응하는가를 보여주는 것은 아니다. 물론 이들도 산업간에 그 수익성 차이에 대한 반응에 대해 서로 다를 수 있다는 점을 언급하고 있다. 그렇다면 수익성 차이라는 전역적인 '신호'가 아니라 산업별 신호에 대한 피드백 효과가 서로 상이하게 전달되는 것은 아닐까.
정리하자면 이윤율 균등화 운동은 정보의 완전성 수준에 의해 결정된다. 적어도 단기시점에서는 서로 밀접한 산업 간에서만 이윤율 균등화 효과가 일어날 것이고 장기시점으로 갈수록 서로 밀접하지 않은 산업 간에서도 이윤율 균등화 효과가 일어날 것이라고 전망된다. 이러한 방법은 벡터자기회귀모형(VAR모형)이라면 어느정도 가능한 분석이 될 것으로 기대된다.
VAR모형과 피드백 효과
우리는 VAR모형을 간단히 소개할 것이다. 자세한 것은 조담(2006)4, 문권순(1997)5을 참고하는 게 좋을 것 같다.
일단 VAR모형은 실제 컴퓨터 프로그램으로 시행할 때는 무척이나 단순하고 간결하다. 그러나 그 수리통계학적 근거는 매우 복잡하기 때문에 여기서 이를 다루지는 않을 것이다.
벡터자기회귀모형은 일변량 자기회귀모형을 다변량 자기회귀모형으로 확정시킨 모형으로 예측 및 내생변수의 변화에 따른 효과분석 등과 관련하여 자주 활용되고 있다.6
전통적인 회귀모형은 (예컨대 OLS) 변수들 간에 서로 독립을 가정한다. 허나 경제적 변수들은 상호 피드백을 받거나 상호적인 효과를 갖는 경우가 많다. 이러한 경우까지 고려하고자 수학적 행렬을 이용하는 주성분분석, 인자분석, VAR 모형 등이 활용되고 있다.
VAR모형의 추정목적은 보통 예측이긴 하지만 이 글에서 염두하는 것은 충격반응함수와 분산분해에 대한 것이 되겠다. 이를 통해 확인할 수 있는 것은 (VAR모형의 변수들이 내생변수라고 가정되므로), (1) 한 변수가 다른 내생변수들에 미치는 효과를 파악할 수 있다. (2) 각각의 내생변수들의 상대적 효과의 비중을 확인할 수 있다.
이 글은 VAR모형을 공부하면서 간단하게 러닝을 하는 목적으로 하는 것이다. 분석의 신뢰성에 대해 크게 유념하지 않았으므로 결과에 염두해야 할 것이다.
자료의 취득
자료는 코스닥에 등록된 산업별 수익현황에서 "총자본경상이익률"을 이용한다. 자료를 국가통계포털에서 [재정·금융·보험>금융>증권·파생상품시장 통계>코스닥시장>상장기업>코스닥 산업별 수익현황 월,년 2004.01~2017.05]에서 월별로 2004년부터 2017년 5월까지의 자료를 얻었다. 다만 VAR모형은 변수들이 시계열적 안정성(stationary)을 가정하기 때문에 단위근 검정을 실시하였고 모두 시계열적 불안정성을 갖는다고 결론짓게 되어 1차 차분을 해두었다. (Sims(1980)7는 이 글의 목적처럼 상호작용을 확인하고자 하는 거라면 시계열적 안정성을 위해 데이터를 차분하지 않을 것을 권장한다고 한다. 하지만 불안하므로.. 차분하였다(?) ) 그런데 단위근이 존재한다고 해서 성급하게 1차 차분을 하기보다는 설명변수들 간에 공적분 관계가 있는지 공적분 관계를 검토할 필요가 있다. 하지만 역시 안 하고 1차 차분하고 넘어가기로 하였다.
※ 공적분 관계에 관하여
보통 단위근이 존재하는 경우 1차 차분을 하는 경우가 보통이다. 단위근이 존재한다는 건 설명변수가 시계열적으로 불안정하다는 의미인데 왜 이것을 회피하려 하냐면 가성회귀 문제8때문이다. 이것은 차분을 하면 해결되긴 하지만 만약 설명변수들 간에 공적분 관계가 존재한다고 하면 그 변수의 선형결합은 시계열적 안정성이 확보되는데.. 이런 관계가 있는 상황에서 설명변수를 차분하여 사용하게 되면 VAR모형의 설정상 오류를 범하게 된다고 한다9. 그러나.. 그래서 공적분 관계의 변수가 1개 이상이라는 것을 알게 된다면 VAR모형이 아니라 벡터오차수정모형(Vector Error Correction Model : VECM)으로 통계모형 자체를 전환해야 한다. 즉 공적분검정이란 일종의 시스템의 일반적 균형안정성이 성립하는가를 검정하는 것과 동일하다고 알려졌다. 따라서 모형 역시 달라지고 목적도 달라진다. 이럴 경우 이 분석이 목표하는 VAR모형의 학습과 달라진다. 따라서 이는 다음의 문제로 하기로 하겠다. 가장 큰 이유는... 공적분 분석은 매우 까다로운 작업이기 때문이고 나는 아직 그것에 익숙하지 않기 때문이다.
물론 뒤메닐&레비의 이윤율 정의를 따르고 싶지만.. 산업별 순자본스톡이 일단 추계해야하는데... 그것은 보통 노력이 드는 것이 아니다(참고로 표학길(2007)10을 참고할 수 있다. 이 방법은 한국은행 산업연관표에서 얻을 수 있는 산업간 총자본형성표를 이용하여 가중치를 부여하는 방식을 채택한다. 이 경우 연도별 자료인데, 우리의 기본데이터는 월별 자료이다. 표학길은 분기별 추계시 방정식을 이용하여 추계한다. 그러면 또 이를 월별로 하려면 방정식을 변경하거나 선형보간하는 방식으로 전처리하는 방법을 생각할 수 있다.. 그러나 이런 작업은 너무 빡쎄다... 안해.). 그냥 조금 비슷한 총자본경상이익률로 대체하였다.
산업은 아래의 표와 같이 총 29개의 산업으로 정리된다.
| 음식료·담배 | 섬유·의류 | 종이·목재 | 출판·매체복제 | 화학 | 제약 | 비금속 | 금속 | 기계·장비 | 일반전기전자 | 의료·정밀기기 | 운송장비·부품 | 기타 제조 | 건설 | 유통 |
| 운송 | 금융 | 오락·문화 | 기타서비스 | 통신서비스 | 방송서비스 | 인터넷 | 디지털컨텐츠 | 소프트웨어 | 컴퓨터서비스 | 통신장비 | 정보기기 | 반도체 | IT부품 |
[표 1] 산업 카테고리
분석 결과
먼저 인자분석(factor analysis)을 통해 각 산업별로 이윤율의 분산을 가장 잘 설명하는 변수가 무엇인지 직관적으로 찾아보기 위함이 목적이다. 인자부하량을 얻기 위한 회전축도법은 널리 사용되는 varimax를 이용하였고 인자변수의 수는 표준화된 변수집합의 공분산행렬의 고유값을 이용하여 8개로 결정했다. 그 결과는 다음과 같다.
> library(psych)#인자분석을 위해 필요한 패키지 불러오기
> FA1 <- principal(ds[,3:31], nfactors=8, rotate="varimax")#인자분석 실시
> print(FA1, digit=3, sort=T)#결과를 보기좋게 정리한다.
item RC1 RC8 RC4 RC2 RC6 RC5 RC7 RC3 h2 u2
운송장비.부품 12 0.790 0.067 -0.197 -0.052 0.058 -0.029 0.009 -0.021 0.675 0.3251
반도체 28 0.743 0.206 0.195 0.308 -0.116 0.293 0.131 0.179 0.877 0.1234
제약 6 0.714 0.234 0.202 -0.249 -0.012 -0.062 0.046 -0.039 0.675 0.3253
컴퓨터서비스 25 0.666 0.333 0.200 0.137 0.337 -0.024 -0.182 0.119 0.776 0.2245
통신장비 26 0.632 0.141 0.481 0.072 0.171 -0.049 0.148 0.242 0.768 0.2323
일반전기전자 10 0.611 0.325 0.553 0.191 0.152 -0.164 0.139 0.052 0.894 0.1061
#설명력이 떨어지는 변수들을 제거하고 다시 인자분석
> emp1 <- cbind(ds[,14],ds[,31],ds[,7],ds[,8],ds[,27],ds[,28],ds[,11],ds[,12])
> FA2 <- principal(emp1, nfactors=1, rotate="varimax")#인자분석
> print(FA2, digit=3, sort=T)
V PC1 h2 u2 com
운송장비.부품 0.877 0.769 0.231 1
반도체 0.847 0.718 0.282 1
제약 0.827 0.684 0.316 1
컴퓨터서비스 0.794 0.631 0.369 1
통신장비 0.745 0.555 0.445 1
일반전기전자 0.648 0.420 0.580 1
화학 0.596 0.355 0.645 1
기계.장비 0.574 0.329 0.671 1
#설명력이 높은 변수집합으로 확인된다.
이렇게 얻은 RC1,..., RC8까지의 계수들이 바로 인자부하계수들인데, 이 인자부하량이란 하나의 변수가 다른 변수의 분산을 가장 잘 설명하는 능력으로 해석하면 된다. 그러나 인자부하량이 높은 변수들을 가지고 그룹을 지어서 충격반응함수를 추정하면 좋은 결과로 이어지지는 못했다.
그래서 결국 일일이 관련이 깊을 것으로 보이는 변수들을 중점으로 직접 충격반응함수 결과를 보아가면서 비교적 서로 영향을 받는 리스트를 선택적으로 선정하였다.
다음으로 충격반응함수를 얻는 것이다. 그러려면 VAR모형을 추정해야 하고 이는 추정 이전에 모형에 포함될 차수를 결정하는 것이 문제가 된다. 이는 R 프로그래밍에서 AIC 기준으로 최소값에 해당하는 차수 12를 선택하였다. AIC 기준이 파라미터를 과대 추정하는 경향이 있다고 하지만 이론적 가정으로 보면 이윤율 피드백이 월 차이로 영향을 받을 리가 없을 것이라고 추정했다.
※차수 선택과 관련하여
차수를 24로 잡으면 AIC와 SC 모두 23 차수를 나타내고 있지만... 이는 너무 긴 텀이라고 생각하여 (현재 월별 자료가 공개되고 있다. 계절요인을 생각해보면 적어도 1년 단위가 최선이 아닐까) 12차수로 하기로 한다. 물론 이는 좋은 선택은 아니다. 차수의 선택을 AIC와 SC 기준에 의거하려는 기술적 이유는 차수를 설정하는 모형에서 각각의 차수별로 설명력을 대표하는 '잔차제곱합이 최소화된' 차수를 선정하는 것이기 때문에 모형의 설명력을 사실상 버리는 것과 마찬가지이기 때문이다. 그럼에도 불구하고 일단 상식적인 수준에서 임의로 12로 선정하였다.
> VARselect(xSet, lag.max = 12, type = "both")#적정 차수를 검정.
$selection
AIC(n) HQ(n) SC(n) FPE(n)
12 1 1 12
$criteria
1 2 3 4 5 6 7 8
AIC(n) 2.184526 2.505412 2.894215 3.304581 2.799820 2.272268 2.636668 2.984630
HQ(n) 2.579475 3.196574 3.881588 4.588166 4.379617 4.148277 4.808889 5.453063
SC(n) 3.156595 4.206533 5.324387 6.463805 6.688095 6.889595 7.983046 9.060060
FPE(n) 8.892063 12.290373 18.250560 27.845689 17.140179 10.410185 15.607118 23.344775
9 10 11 12
AIC(n) 3.347531 3.667063 3.485085 0.7062335
HQ(n) 6.112176 6.727920 6.842154 4.3595148
SC(n) 10.152013 11.200597 11.747670 9.6978703
FPE(n) 36.052596 54.412687 50.962081 3.6616258
이제 차수를 결정했다면 우리가 추정하려는 VAR(12)모형은 다음과 같게 된다. (시계열적 안정성을 갖는 설명변수를 $X_{1,t},X_{2,t},...,X_{n,t}$라고 한다면)
$X_{1,t}=\alpha_{11}+\beta_{12}X_{2,t}+...+\beta_{1n}X_{n,t}+\phi^{t-1}_{11}X_{1,t-1}+...+\phi^{t-1}_{1n}X_{n,t-1}+\phi^{t-12}_{11}X_{1,t-12}+...+\phi^{t-12}_{1n}X_{n,t-12}+\epsilon_{1,t}\\\cdots\\X_{n,t}=\alpha_{n1}+\beta_{n2}X_{2,t}+...+\beta_{nn}X_{n,t}+\phi^{t-1}_{n1}X_{1,t-1}+...+\phi^{t-1}_{nn}X_{n,t-1}+\phi^{t-12}_{n1}X_{1,t-12}+...+\phi^{t-12}_{nn}X_{n,t-12}+\epsilon_{n,t}$
$\alpha,\beta,\phi$는 회귀계수이다. 이는 개별적으로 회귀식으로 추정하여 일종의 회귀계수벡터를 만들게 된다고 한다. 그리고 $\epsilon$은 잔차이다.
이와 같이 VAR모형은 바로 t시점의 자신을 뺀 나머지 변수들과 t-1 시점의 자신을 포함한 변수들, t-2시점, ..., t-12 시점까지의 변수들의 영향을 모두 평가하여 설명변수를 설명해주는 일종의 회귀모형이 바로 벡터자기회귀모형(VAR모형)이라고 하는 것이다. 수식이 상당히 복잡할 수밖에 없다... 이를 간단히 하기 위한 방식으로 조담(2006, p289-296)11을 참고해보자. 일종의 행렬로 표현하기 위해 약간의 변형을 거치면 다음과 같이 된다.
$\beta=\begin{pmatrix}1&\cdots&\beta_{1n}\\\vdots&\ddots&\vdots\\\beta_{n1}&\cdots&1\end{pmatrix},X_{t-l}=\begin{pmatrix}X_{1,t-l}\\\vdots\\X_{n,t-l}\end{pmatrix},\alpha=\begin{pmatrix}\alpha_{10}\\\vdots\\\alpha_{n0}\end{pmatrix},\phi=\begin{pmatrix}\phi_{11}&\cdots&\phi_{1n}\\\vdots&\ddots&\vdots\\\phi_{n1}&\cdots&\phi_{nn}\end{pmatrix},\epsilon_{t}=\begin{pmatrix}\epsilon_{1,t}\\\vdots\\\epsilon_{n,t}\end{pmatrix}$
로 축약하면 다음과 같이 간단히 된다.
$\beta{X_{t}}=\alpha+\sum^{12}_{l=1}\phi{X_{t-l}}+\epsilon_{t}$
이제 양변을 $\beta^{-1}$로 곱해주면
${X_{t}}=\beta^{-1}\alpha+\sum^{12}_{l=1}\beta^{-1}\phi{X_{t-l}}+\beta^{-1}\epsilon_{t}$
가 되고 이를 다시 $A_{0}=\beta^{-1}\alpha,A_{l}=\beta^{-1}\phi{X_{t-l}},e_{t}=\beta^{-1}\epsilon_{t}$로 또(????) 줄이면. (단 $l=1,2,...,12$이다.
(1) $X_{t}=A_{0}+\sum^{12}_{l=1}A_{l}X_{t-l}+e_{t}$
이다.
이제 충격반응함수에 대해 알아볼 수 있게 되었다. 일반적으로 AR모형은 MA(∞)모형으로 전환될 수 있는 것으로 알려졌다. 그러므로 VAR모형 역시 벡터이동평균(vector moving average : VMA)모형으로 변환 가능하다. 우선 (1)식에서 두 개의 설명변수만 있다고 가정하자. 두 변수의 평균이 각각 $\mu_{1},\mu_{2}$라면 반복계산법을 이용하여 VMA(∞)모형인 벡터이동평균모형으로 전환될 수 있다.12
$\binom{X_{1,t}}{X_{2,t}}=\binom{\mu_{1}}{\mu_{2}}+\sum^{\infty}_{l=0}\begin{bmatrix}a_{11}&a_{12}\\a_{21}&a_{22}\end{bmatrix}^{l}\binom{e_{1,t-l}}{e_{1,t-l}}$
이 방정식은 모수와 식의 수가 달라 과소추정 문제를 안게 되므로 모수 중 하나를 0으로 제약하는 방식을 이용하는데 이를 Cholesky분해라고 한다. 그 내용은 간단하게 요약하자면 대칭행렬(예컨대 공분산행렬처럼)은 좌하단삼각행렬 $L$과 우상단삼각행렬 $U(=L')$가 존재하여 이는 $L$과 $U$를 곱한 것과 일치한다는 정리에 기반하여 행렬을 분해하는 것이다13. Cholesky분해의 목적은 행렬계산을 효율적으로 하기 위해서 만들어졌다 하며 그것은 LU분해보다 더 효율적으로 알려져있다14 일단 복잡한 걸 건너뛰면.. 여기서 $e_{t}=\beta^{-1}\epsilon_{t}$라는 점을 다시 고려한 후 다음과 같이 식이 정리된다고 한다.
$\binom{X_{1,t}}{X_{2,t}}=\binom{\mu_{1}}{\mu_{2}}+\bigl(\begin{smallmatrix}\psi_{11}(0)&\psi_{12}(0)\\\psi_{21}(0)&\psi_{22}(0)\end{smallmatrix}\bigr)\binom{\epsilon_{1,t}}{\epsilon_{2,t}}+...+\bigl(\begin{smallmatrix}\psi_{11}(\infty)&\psi_{12}(\infty)\\\psi_{21}(\infty)&\psi_{22}(\infty)\end{smallmatrix}\bigr)\binom{\epsilon_{1,t-\infty}}{\epsilon_{2,t-\infty}}$
이제 이를 해석해보자. 여기서 충격반응승수로 불리는 $\psi_{ij}(0)$를 보자. 예컨대 이는 $X_{1,t}$의 충격에 의한 $\epsilon_{1,t}$의 반응은 $\psi_{11}(0)$과 동일하다. 또 다른 예로 $X_{2,t}$의 충격에 의한 $\epsilon_{1,t}$의 반응은 $\psi_{21}(0)$과 동일하다.
그 외의 $\psi_{ij}(l)$을 충격반응함수라고 부른다. 즉 충격반응함수란 j의 독립변수가 주는 충격에 따른 잔차의 반응과 같다. 따라서 이 충격반응함수 자체가 영향력, 영향도 정도로 생각할 수 있을 것이다. 이로써 내생변수들 간에 상호영향의 정도를 평가할 수 있다는 소리이다.
R에서 직접 충격반응함수를 얻으면 일종의 행렬형태로 받을 수 있다. 다음의 결과를 보도록 하자.
> variableSet <- data.frame(read.csv("월별 총자본경상이익률(차분).csv"))
# VAR 추정 시작. vars 패키지 사용
> library(vars)
> ari_VAR <- VAR(variableSet, type="const", lag.max=12, ic="AIC")
# 충격반응함수 확인
> ari_VAR.irf<-irf(ari_VAR, impulse=colnames(variableSet), response=colnames(variableSet),cumulative=T, boot=F)
> ari_VAR.irf
Impulse response coefficients
$IT부품
IT부품 기타서비스 정보기기 소프트웨어 운송장비.부품 유통
[1,] 1.5971671 0.2503383 0.13116588 0.082619627 0.0500037915 0.313396270
[2,] 1.1024580 0.3347668 0.21400858 0.091594401 0.0970342374 0.385189905
[3,] 1.1546177 0.3147033 0.15574874 0.075789848 0.0854910714 0.339663944
[4,] 1.0205061 0.2970203 0.18982589 -0.016196513 0.0182255676 0.232022088
[5,] 0.6239198 0.2067509 0.01933154 -0.114426576 -0.0210227312 0.038096233
[6,] 0.4822661 0.1691059 0.02906534 -0.003363384 -0.0175736584 -0.215334560
[7,] 0.6207554 0.3184321 0.06178334 0.053145078 0.0003908193 0.064612729
[8,] 0.8538097 0.2164703 -0.08130282 0.032170758 0.0006614630 -0.010347699
[9,] 0.8843569 0.2697822 -0.01169206 -0.015126665 0.0631905760 -0.001004577
[10,] 0.8440187 0.2315958 -0.06027953 0.007329784 0.0960109122 -0.032915359
[11,] 0.6089002 0.1486288 -0.23320119 -0.043627398 0.0957657217 -0.174593579
$기타서비스
IT부품 기타서비스 정보기기 소프트웨어 운송장비.부품 유통
[1,] 0.0000000 0.5895327 -0.25838655 0.6821212 0.1829448 0.3550650
[2,] 0.3719196 0.6925349 -0.25971807 0.6140391 0.2565893 0.3838797
[3,] 0.4045495 0.6587001 -0.25971815 0.6347917 0.2993390 0.4519018
[4,] 0.4494039 0.6869093 -0.31520965 0.6072686 0.2839059 0.4714367
[5,] 0.6697184 0.7736817 -0.29939283 0.6005469 0.3299939 0.5992337
[6,] 1.0247571 0.8282410 -0.14217338 0.5459201 0.3310318 0.7089484
[7,] 0.3210856 0.6990385 -0.26950159 0.5710226 0.2467572 0.5432809
[8,] 0.5323559 0.7077090 -0.31898929 0.5493063 0.2944350 0.5198406
[9,] 0.3933135 0.6819750 -0.22658290 0.5582873 0.2948307 0.5012687
[10,] 0.5750097 0.7144820 -0.20031613 0.5445623 0.2888142 0.5035983
[11,] 0.4782287 0.7453369 -0.09260858 0.6138549 0.2740264 0.5451470
$정보기기
IT부품 기타서비스 정보기기 소프트웨어 운송장비.부품 유통
[1,] 0.000000000 0.0000000 1.865819 -0.6364622 -0.13365810 -0.273312922
[2,] -0.002359103 0.1526039 1.915949 -0.5718676 -0.13778371 -0.264859603
[3,] 0.093400762 0.1498751 1.956620 -0.5694777 -0.13072773 -0.237488885
[4,] 0.043825562 0.1287530 1.864441 -0.6077133 -0.13360761 -0.224266600
[5,] 0.352399686 0.2004654 1.939408 -0.5418144 -0.08534959 -0.120885983
[6,] 0.345248275 0.2464714 1.966025 -0.6074566 -0.11951506 -0.007514925
[7,] 0.196736624 0.1898663 1.931683 -0.6645806 -0.17253653 -0.064898863
[8,] 0.068549380 0.2242567 2.094983 -0.6916903 -0.18176216 -0.075221889
[9,] 0.118250057 0.2184545 2.060120 -0.6372233 -0.20227958 -0.041820576
[10,] 0.175157546 0.2994484 2.091828 -0.6177832 -0.19917358 -0.060244048
[11,] 0.281143099 0.3857148 2.034659 -0.5326409 -0.17754834 0.090134709
$소프트웨어
IT부품 기타서비스 정보기기 소프트웨어 운송장비.부품 유통
[1,] 0.0000000000 0.00000000 0.000000000 0.9069931 0.3582904 0.2292064
[2,] -0.2320942622 0.03741832 0.001132729 0.6802472 0.3366940 0.2139077
[3,] -0.1680700634 0.03341621 -0.213811184 0.7002737 0.3386623 0.2215406
[4,] 0.0007789956 0.03595252 -0.173245009 0.6523947 0.3796529 0.2471187
[5,] -0.1221654284 -0.01222148 -0.199435154 0.5777256 0.3658756 0.2417323
[6,] -0.1903034479 0.03125489 -0.299644925 0.5965396 0.3074859 0.3358399
[7,] -0.7507542627 -0.03819945 -0.103471289 0.5987198 0.2764867 0.3315372
[8,] -0.3443460846 -0.08382154 -0.185392244 0.6144334 0.1698958 0.1833848
[9,] -0.3542018032 -0.07900533 -0.033728056 0.6497765 0.2109403 0.1757474
[10,] -0.2612842000 0.02503470 0.024377155 0.6943287 0.2268166 0.3453568
[11,] 0.0489569214 0.11554854 0.010428268 0.7978607 0.2489047 0.4544319
$운송장비.부품
IT부품 기타서비스 정보기기 소프트웨어 운송장비.부품 유통
[1,] 0.00000000 0.00000000 0.0000000000 0.00000000 0.5688642 0.2498770
[2,] -0.15354857 0.03952971 -0.0001475152 0.03894178 0.5446549 0.2360017
[3,] -0.03881108 0.06865506 -0.0209393584 0.03799946 0.5626249 0.2635442
[4,] -0.04208815 0.08238057 -0.0368593603 -0.02888792 0.5202562 0.2654383
[5,] 0.24625624 0.16269509 0.0058906455 0.03295478 0.5879683 0.3653685
[6,] 0.44431045 0.19961768 0.0261778922 -0.09144586 0.6086590 0.3361318
[7,] -0.30233565 0.17323697 -0.0654311997 0.04642024 0.5991152 0.3932665
[8,] 0.22261478 0.18014046 0.0330745266 -0.06283549 0.6128942 0.3144339
[9,] 0.17606368 0.16443263 0.0468894339 -0.06593064 0.5935511 0.3135846
[10,] 0.18067396 0.12894590 0.0066391426 -0.08370982 0.5714589 0.2345661
[11,] 0.06140774 0.12693666 0.0729207425 -0.05050430 0.5661501 0.2594993
$유통
IT부품 기타서비스 정보기기 소프트웨어 운송장비.부품 유통
[1,] 0.0000000 0.0000000 0.00000000 0.000000000 0.00000000 0.6308069
[2,] 0.8256809 0.1055066 0.10457514 -0.086620969 -0.01599163 0.7839780
[3,] 0.6943579 0.1931830 0.04823785 -0.038213444 0.05581641 0.8906053
[4,] 0.7023297 0.2677989 -0.08298559 -0.028732080 0.11226511 0.9142228
[5,] 1.1497528 0.3743033 0.01962032 -0.093661927 0.20203768 1.0507966
[6,] 1.5924092 0.5071505 0.13979075 -0.141079895 0.18580478 1.1670350
[7,] 0.6507384 0.2974009 -0.04257583 -0.079066346 0.06264136 0.8775960
[8,] 0.9975652 0.3600336 -0.17163282 -0.051552293 0.16659521 0.9794486
[9,] 0.8970908 0.3576378 -0.05630540 -0.026908176 0.20857065 0.9802450
[10,] 0.9286529 0.3337415 0.03724796 -0.057553600 0.20135172 0.9170177
[11,] 0.9742032 0.3835736 0.10519666 -0.002471379 0.20572386 0.9898890
해당 산업 리스트에서는 각자의 총자본경상이익률의 차분이 각 내생변수들에 영향을 주고 있는 것으로 확인된다. (참고로 만약 영향력이 없다면 1 이후의 11차까지의 충격반응함수 값들은 별다른 반응도 없이 0에서 움직이지 않게 될 것이다. 또 하나 참고로 말하면 0차는 현재시점을 의미한다) 특히 기타서비스업과 소프트웨어업의 경우 내생변수들에 주는 영향이 큰 것으로 나타난다.
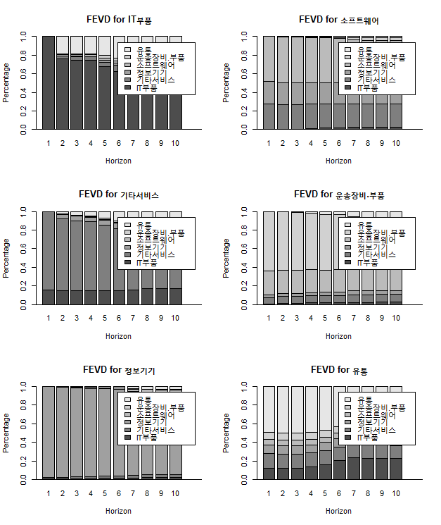
그렇다면 각 변수들마다 어떤 산업에 주로 영향을 많이 받는가? 이를 확인하기 위해 분산분해를 시행해보았다. 분산분해란 각 변수들의 충격반응함수의 영향력들을 전체분산에서 그 비중을 확인할 수 있도록 해주는 것이다.
$\frac{\sigma^{2}[(\psi_{ij}(0))^{2}+...+(\psi_{ij}(l-1))^{2}}{Var(X_{i,t+l})}$
와 같은 방식으로 독립변수의 분산 전체에서 충격반응함수의 변동의 기여도를 확인할 수 있도록 한다는 것이다. R에서는 이를 fevd() 함수를 통해 기능을 제공하고 있다. 이를 그래프를 보여주는 plot()과 함께 써보도록 하자.
> plot(fevd(ari_VAR)) # `fevd()` is in package `vars`
그러면 다음과 같은 그래프를 볼 수 있게 된다.

| 피영향\영향 | IT부품 | 기타서비스 | 정보기기 | 소프트웨어 | 운송장비 및 부품 | 유통 |
| IT부품 | O | |||||
| 기타서비스 | O | |||||
| 정보기기 | O | |||||
| 소프트웨어 | O | O | ||||
| 운송장비 및 부품 | O | |||||
| 유통 | O | O |
[표 2] 각 변동에서 기여도가 높았던 산업
이렇듯 산업의 총자본경상이윤율이 다른 산업에 의해 영향을 받는 이유는 뭘까? IT부품, 정보기기, 소프트웨어, 운송장비 및 부품 산업들은 모두 관련된 전자기기 및 소프트웨어로 묶여있고 각자 사업의 일환으로서 서로 밀접하게 비즈니스를 한다고 생각된다. 예컨대 전자기기 및 소프트웨어의 경우 국가전략사업 프로젝트에 동시에 연관되어 프로젝트를 하는 경우도 많긴 하다. 이런 속에서 각자의 수익성이 서로에게 영향을 주는 것이 아닐까 생각이 된다.
물론 이는 1년 단위로 비교적 비즈니스가 밀접하게 연관된 산업 간에 수익성이 영향을 받는다는 하나의 증거가 될 것이다. 그러나 좀 더 장기적으로 볼 때 비즈니스적으로 밀접하지 않은 산업 간에도 피드백 효과가 있을 것인가?
이번엔 12 차수에서는 영향력이 없었던 것으로 확인된 반도체, 제약, 섬유-의류에 대해 차수검정을 하여 적합한 것으로 나온 37로 나왔으며 이를 차수를 36개월(3년)으로 늘려 시행해보았다. 결과는 다음과 같다.

제약과 섬유/의류의 경우에 대해 비교적 변동에 대한 기여율이 높아진 것으로 확인되었다. 즉 비즈니스적 관련이 없다 하여도 후행시점이 36개월 정도로 높아진다면 내생변수의 영향에 대한 기여도가 높아질 수 있다는 것을 확인할 수 있었다.
결론
일단 예상되는 이 분석의 문제점은 비율을 차분하였을 때 문제가 되지 않는지를 검토하지 못했으며, 총자본에 대한 경상이익의 비율이 마르크스경제학의 이윤율은 아니라는 점이고 서로 다른 정의에 대한 검토가 미비했다는 점으로 볼 수 있겠다. 또한 차수의 선택이 기술적인 요인이 아니라 직관에 의존한 점은 분명 좋은 방식은 아니었을 것이다. 물론 이는 개인적인 공부 차원에서 간단하게 구할 수 있는 자료로 돌려본 것이니 그 신뢰성에 대해서는 유념할 필요가 있을 것 같다. 또한 충격반응함수로 알아본 이윤율의 영향 평가에 대한 것이 곧바로 이윤율의 균등화로 연관짓는 것은 일단 무리라는 것이다. 이는 뒤메닐&레비의 연구와 같이 수익성의 차이에 따른 자본행동에 대해 면밀한 정의가 필요해보인다. 다만 이 분석은 산업별 이윤율이 실제 서로 영향을 주고 받고 있는지에 대한 하나의 증거로 제출될 수는 있겠다고 생각된다.
[이관 글. 2017-06-29 작성]
- Duménil, Gérard, and Dominique Lévy. "The economics of the profit rate: Competition, crises and historical tendencies in capitalism." (1995). [본문으로]
- Kaldor, Nicholas. Indian tax reform: report of a survey. Ministry of Finance, Dept. of Economic Affairs, 1956. [본문으로]
- Bernstein. S. Investment, profitability, demand, and interest rates. A study of the cross-sectional and time series determinants of investment for US manufacturing industries, PhD Dissertation, New School for Social Research, New York (1988). [본문으로]
- 조담. "금융계량분석." 도서출판 청람 (2006). [본문으로]
- 문권순. "벡터자기회귀 (VAR) 모형의 이해." 통계분석연구, 통계청 2.1 (1997): 23-56. [본문으로]
- 문권순. "벡터자기회귀 (VAR) 모형의 이해." 통계분석연구, 통계청 2.1 (1997): 23-56. [본문으로]
- Sims, Christopher A. "Macroeconomics and reality." Econometrica: Journal of the Econometric Society (1980): 1-48. [본문으로]
- 예컨대 서로 상관이 없는 변수들의 모형에서 높은 결정계수를 갖는 경우 [본문으로]
- 이정익. "구조적 VAR 모형을 이용한 총생산 및 인플레이션의총수요-총공급 요인 분해." pp141. 경제학연구 60.4 (2012): 123-174. [본문으로]
- 표학길, 정선영, and 조정삼. "한국의 총고정자본형성, 순자본스톡 및 자본계수추계: 11 개 자산-72 부문 (1970~ 2005)." 한국경제의 분석 13.3 (2007): 137-191. [본문으로]
- 조담. "금융계량분석." p289-296. 도서출판 청람 (2006). [본문으로]
- 조담.2006. op. cit. p295 [본문으로]
- 이종원. "계량경제학." p825-826. 박엉사, 서울 (2001). [본문으로]
- 위키백과. 숄레스키 분해 항목 참조. 링크 : https://ko.wikipedia.org/wiki/숄레스키_분해 [본문으로]
'정치경제학' 카테고리의 다른 글
| 이윤율의 균형안정성 : 벡터오차수정모형 (0) | 2021.05.29 |
|---|---|
| 투입-산출모형의 고유값과 고유벡터의 의미 (0) | 2021.05.29 |
| 직종별 노동자 주성분 분석 - 생산적 노동의 구분을 중심으로 (0) | 2021.05.28 |
| 이채언의 「수리 마르크스 경제학」 서평에 대하여 (0) | 2021.05.24 |
| MELT의 잔차 분석 (0) | 2021.05.24 |
